黑色素是皮肤色素主要成分,由酪氨酸酶催化产生。超硫化物存在于人体细胞中,可维持细胞活性,谷胱甘肽三硫化物(GSSSG)作为具抗氧化特性的超硫化物,有多种生物学效应,但它对黑色素生成的影响及黑色素产生对细胞内过硫化物水平的作用尚不明确。本研究以 B16-F0 细胞为对象,经 α- 黑色素细胞刺激激素(α-MSH)处理,发现 α-MSH 会显著促进黑色素生成,降低细胞内过硫化物水平。而 GSSSG 能显著抑制 α-MSH 诱导的黑色素生成,恢复细胞内过硫化物水平,同时上调上述合成基因表达,可见 GSSSG 具抗黑色素生成、维持细胞内过硫化物水平及改善皮肤亮度的作用。
美白的核心难题:黑色素与细胞防护的失衡
想要真正实现肤色提亮,首先要搞懂黑色素生成的底层逻辑。
黑色素是皮肤色素沉着的主要成分,由酪氨酸酶催化合成,而紫外线照射、氧化应激等因素会刺激 α- 促黑素(α-MSH)分泌,加速黑色素生成,这也是晒后变黑、色斑加深的关键原因。
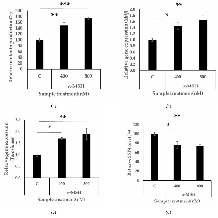
更值得关注的是,研究团队通过 B16-F0 黑色素瘤细胞实验发现了一个重要规律:当 α-MSH 诱导黑色素大量生成时,细胞内的过硫化物水平会显著下降,同时过硫化物合成相关基因 Cars2 和 Cbs 的表达也会被抑制。

α-MSH对B16-F0细胞黑色素生成和过硫化物合成的影响。(a) 黑色素含量分析。(b,c) 黑色素合成相关基因的相对表达水平。(d) 使用SSP4荧光检测细胞内过硫化物。(e,f) 过硫化物合成相关基因的相对表达水平。α-MSH,α-黑色素细胞刺激素;Cars2,半胱氨酰-tRNA合成酶2;Cbs,胱硫醚β-合酶;C,对照
过硫化物是人体细胞中天然存在的 "抗氧化卫士",参与维持细胞活性、抵御氧化损伤等关键功能,其含量减少会进一步削弱皮肤的自我保护能力,形成 "黑色素增多→防护减弱→肤色暗沉" 的恶性循环。
这一发现颠覆了传统美白理念 —— 肤色暗沉不仅是黑色素沉积的问题,更是细胞内在防护系统失衡的外在表现。单纯抑制黑色素生成而不修复细胞防护功能,很难实现持久的美白效果。
GSSSG:兼顾美白与防护的天然 "双能分子"
谷胱甘肽三硫化物(GSSSG)作为过硫化物家族的重要成员,早已被证实具有抗氧化、抗炎等多种生物活性,但此前从未有研究揭示其美白潜力。
本研究通过严谨的细胞实验,首次证实了 GSSSG 的双重护肤价值:强效抑制黑色素生成,提亮效果媲美经典成分实验中,研究人员用 25μM 和 50μM 浓度的 GSSSG 预处理 B16-F0 细胞 30 分钟后,再用 α-MSH 诱导黑色素生成。结果显示,GSSSG 能显著降低细胞内黑色素含量,其中 25μM GSSSG 的美白效果与 1000μM 曲酸(经典美白成分)相当。

GSSSG对α-MSH诱导的B16-F0细胞黑色素生成的影响 黑色素含量分析 K.A.是曲酸
进一步研究发现,GSSSG 通过下调黑色素合成关键基因 MITF 和 TYR 的表达,从源头阻断黑色素生成通路。MITF 是调控黑色素合成的核心转录因子,TYR 则是催化黑色素生成的关键酶,两者被抑制后,黑色素的合成效率会大幅下降,从根本上减少皮肤色素沉积。


黑色素合成相关基因的相对表达水平
修复细胞过硫化物水平,强化皮肤内在防护
更令人惊喜的是,GSSSG 能精准修复被 α-MSH 抑制的细胞防护系统。
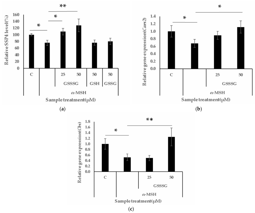
实验数据显示,GSSSG 处理后,细胞内下降的过硫化物水平得到显著恢复,且这种修复效果是谷胱甘肽(GSH)、谷胱甘肽二硫化物(GSSG)等相关物质无法实现的。
同时,GSSSG 还能上调 Cars2 和 Cbs 基因的表达,促进细胞自身合成过硫化物,形成 "外补 + 内生" 的双重防护机制。

GSSSG对α-MSH处理的B16-F0细胞内超硫化物的影响。 (a) 通过SSP4分析测定细胞内过硫化物水平含量。(b,c) 超硫化物合成相关基因的相对表达水平。GSSSG,谷胱甘肽三硫化物;GSH,谷胱甘肽;GSSG,谷胱甘肽二硫化物;Cars2,半胱氨酰-tRNA合成酶2;Cbs,胱硫醚β-合酶;C,对照
这意味着 GSSSG 不仅能直接补充皮肤所需的防护物质,还能激活皮肤自身的防护能力,从根本上增强皮肤抵御氧化损伤、抑制黑色素生成的能力。
双重作用机制,实现全面美白防护
深入研究表明,GSSSG 的美白作用还源于其对酪氨酸酶活性的直接抑制和强大的抗氧化能力。
酪氨酸酶是黑色素合成的关键酶,其活性被抑制后,黑色素生成会直接受阻;而 GSSSG 的抗氧化特性能有效清除皮肤中的活性氧(ROS),减少氧化应激对皮肤的损伤,从而减少黑色素生成的诱因。

GSSSG对细胞内酪氨酸酶活性和抗氧化能力的影响。(a) 细胞内酪氨酸酶活性。(b) DPPH测定结果。GSSSG,谷胱甘肽三硫化物;α-MSH,α-黑色素细胞刺激素。
这种 "抑制酶活性 + 清除自由基 + 修复防护系统 + 下调合成基因" 的多重作用机制,让 GSSSG 的美白效果更全面、更持久,避免了传统美白成分单一作用的局限性。
实验验证:安全高效,优势显著
为确保 GSSSG 的护肤安全性和有效性,研究团队进行了全面的实验验证:
在细胞毒性实验中,25μM、50μM 和 100μM 浓度的 GSSSG 对 B16-F0 细胞的存活率无显著影响,仅 100μM 浓度组出现轻微的存活率下降,证明其在有效美白浓度范围内具有良好的生物安全性。

α-MSH和GSSSG处理细胞的细胞存活能力。B16-F0细胞用400 nM α-MSH和GSSSG处理24小时。细胞存活率通过MTT测定法进行测量
与传统美白成分相比,GSSSG 的优势尤为突出:传统美白成分如谷胱甘肽(GSH)需要达到毫摩尔级浓度才能显现美白效果,而 GSSSG 在数十微摩尔级浓度下就表现出显著的黑色素抑制作用,使用浓度更低、效果更优。
结语
综上所述,该研究结果揭示了黑色素产生、细胞内超硫化物水平和超硫化物代谢之间的负相关关系。此外,GSSSG表现出抗黑色素生成和皮肤提亮作用,同时维持细胞内超硫化物水平。这些结果表明,细胞内超硫化物在黑色素产生中扮演调节角色,并可能作为抑制黑色素生成的新靶点。此外,GSSSG可能作为一种新型皮肤提亮剂,全面调节涉及黑色素调控的常规途径和超硫化物相关途径。



